Skip to main content

Расчет КСГ с долей заработной платы

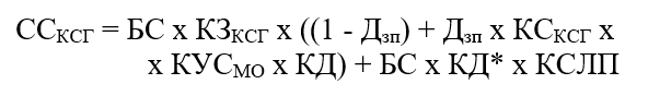
Стоимость КСГ с заработной платы рассчитывается по формуле (рисунок 1).
image.pngРисунок 1.
В расчете участвует:
- БС - базовая ставка;
- КД - коэффициент дифференциации;
- КЗксг - коэффициента относительной затратоёмкости;
- Дзп - доля заработной платы и прочих расходов в структуре стоимости КСГ;
- КСксг - коэффициента специфики КСГ;
- КУСмо - коэффициента подуровня медицинской организации (или КПУ);
- КСЛП - коэффициент сложности лечения пациента (при необходимости сумма применяемых КфЛС).
Перечень КСГ, коэффициенты затратоёмкости КСГ, коэффициенты специфики, коэффициенты подуровня оказания медицинской помощи, доля заработной платы, тарифы КСГ для оплаты медицинской помощи, оказываемой в стационарных условиях и условиях дневного стационара с учётом коэффициентов подуровня установлены в приложениях 19 и 20 (рисунок 2) на второй странице (рисунок 3).
image.pngРисунок 2.
image.pngРисунок 3.
Расположение коэффициентов в КСАМУ подробно описано в инструкции "Расчет КСГ".
Коэффициенты сложности лечения пациента и условия для их применения изложены в приложении 22 к ТС.
В КСАМУ данные по доле заработной платы расположены в меню "Справочники" - "Тарифы (СК)" - "Доля заработной платы в стоимости КСГ" (рисунок 4, 5).
image.pngРисунок 4.
image.pngРисунок 5.

Пример для наглядного разбора

Для примера возьмем КСГ круглосуточного стационара "THS2502.015. Операции на женских половых органах (уровень 5)" с уже рассчитанной суммой 110025.61361 (рисунок 6). 
image.pngРисунок 6.
Для проверки нужно перемножить:
1. Базовую ставку: 32120.12
2. КПУ: в данном случае 0.9
3. КЗксг: для данного КСГ 3.56
4. КД: 1.002
5. КСксг: для данного КСГ 1
6. Дзп: для данного КСГ 38,49% (0,3849)
32120.12 * 3.56 * ((1 - 0,3849) + 0,3849 * 1 * 0.9 * 1.002) = 110025,61
Рассчитанный итог нужно сравнить с приложением => цифры сошлись (рисунок 7).
image.pngРисунок 7.